为何说行星绕太阳的轨道是个椭圆?《张朝阳的物理课》探索椭圆的一般性质
扫描到手机,新闻随时看
扫一扫,用手机看文章
更加方便分享给朋友
极坐标系下的椭圆方程如何等价于更令人熟悉的直角坐标系椭圆方程?如何求算椭圆的面积?怎样从牛顿定律中严格导出开普勒第三定律?
11月30日12时,《张朝阳的物理课》第二百六十八期开播,搜狐创始人、董事局主席兼CEO、物理学博士张朝阳坐镇搜狐视频直播间,先给网友们介绍回顾了天体力学与行星轨道的基本概念,验证了椭圆方程在极坐标下和直角坐标下不同形式的等价性,最后推导了椭圆的面积表达式并证明开普勒第三定律。
极坐标与直角坐标中椭圆轨道方程的等价性
高空之外,来自太阳系外的访客3I/ATLAS正在掠过地球。在上一节直播课上,张朝阳从最基础的天体力学原理出发,推导了在小质量天体在中心引力场中最一般的轨道方程,并着重分析了代表3I/ATLAS轨迹的双曲线。然而,在神秘访客走过的双曲线路径之外,在我们所在的太阳系中,绕中心天体旋转形成的椭圆轨道更为常见。小到卫星、空间站绕地球的旋转,大至八大行星和哈雷彗星的运动,都可以统一地用椭圆轨道来描述。
在数学上,双曲线和椭圆同属于圆锥曲线,在参数A、B取恰当值得前提下,上节课中推导的一般表达式

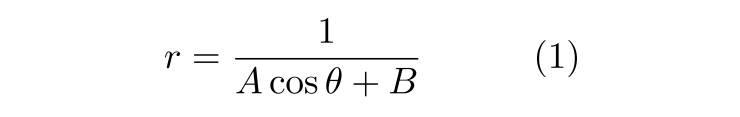
同样也可以用来描述椭圆轨道。值得注意的是,这样一个表达式是在极坐标中写下的。在描述被向心力约束的天体运动时,这样一个坐标是个非常好的选择,其中变量 r 和 θ 有非常实际的物理意义。然而,这样一个轨道方程与更为人熟知的、在直角坐标中写下的椭圆方程

有很大的差异,以至于乍看之下会质疑:方程(1)真的能描述一个椭圆吗?为了解答这一问题,张朝阳在本节直播课上向各位网友详细证明了两条方程的等价性,可以看到,它们可以被一个坐标表换紧密联系。
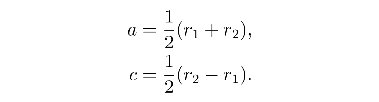
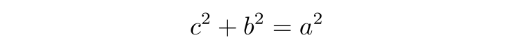
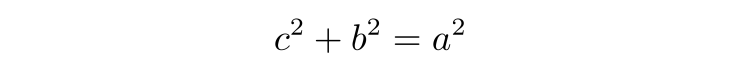
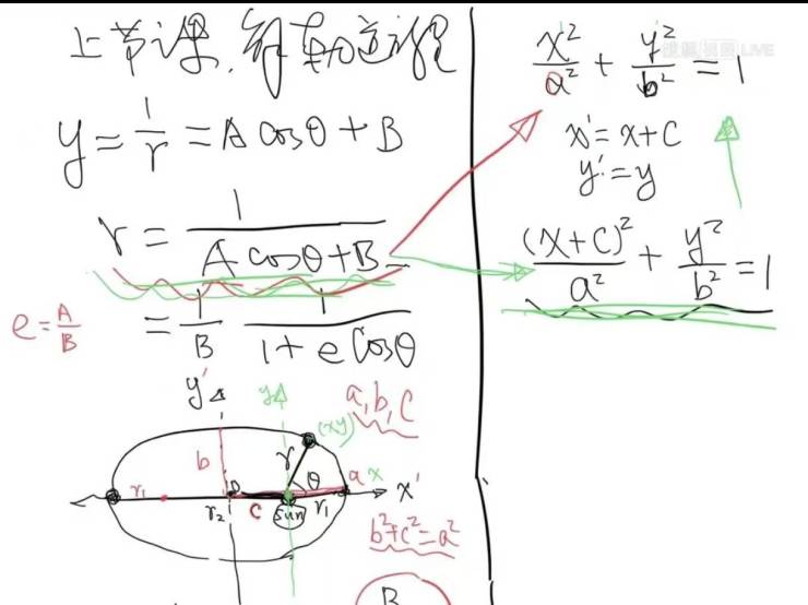
在进入详细的推导之前,他带领大家回顾了椭圆方程(2)的定义。如图 1,可以选取为椭圆的中心为原点建立直角坐标系。此时,中心天体(比如太阳)会位于在椭圆焦点上,它离原点的距离称为焦距,可以记为 c。绕转天体(比如地球)距离中心天体的最近距离记为 r1,最远距离记为 r2,对应的位置都出现在 x 轴上,分别称为“近日点”和“远日点”。在方程(2)中,参数 a 是椭圆半长轴的距离,不难得到应有


同时,可以以中心天体为参考点,用二者的距离 r 及方位角 θ 建立极坐标系。利用方程(1),可以求得“近日点”和“远日点”的位置分别为

将这一关系代入上面关于 a 和 c 的等式中,不难得到:

张朝阳提醒,方程(1)中只有两个参数,从而与其等价的方程(2)中代表椭圆半短轴距离的 b 也应当不是一个独立的参数。根据椭圆的几何意义,应有

在后文中,严格的代数计算将证明三个参数满足的关系式一定成立。

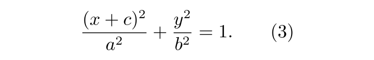
为了论证两个方程的等价性,如图 2,张朝阳先对直角坐标系进行了平移,使得中心天体的位置与原点位置重合。如果重新记平移前的坐标系(黑色箭头)为 x'、y',平移后的坐标系为 x、y,在新坐标系下的椭圆方程应当改写为

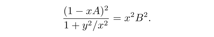
事实上,为了达到目标,只需要证明方程(1)和方程(3)的等价性。从方程(1)出发,代入直角坐标与极坐标之间的关系

可以得到等式

它等价于等式

与方位角相关的 cos θ 同样需要用直角坐标来改写。注意到由坐标变换可以得到

利用三角函数的性质,可以导出

将前面得到的等式(**)两边取平方,然后将上式代入,可以得到

将其改写为关于 x 和 y 的多项式,即可以得到

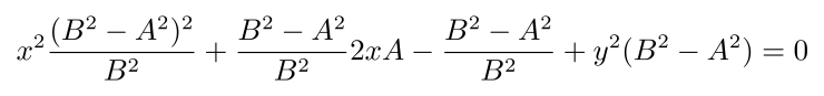
为了进一步化简这一表达式,可以尝试在对方程(2)和(3)的分析中寻找提示。张朝阳将这一思路比喻为“打隧道”,分别从出发点和目标两个出发,共同向着汇合的方向努力,才能省时省力地打通二者的连结。在前面的分析中,等式(*)已经提示平方项前面的系数应当具有的形式。根据这一提示,上式可以被改写为

与方程(3)对比,不难发现还需要对 x 相关的项进行配平方,整理之后应有

也即是

如果定义参数

即可回到方程(3)。可以看到,其中 a 和 c 的定义与前面分析所得保持一致,且不难验证等式

这样一来,便可证明方程(1)所表述的,确实是一个椭圆。

从椭圆的面积到开普勒第三定理
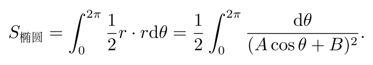
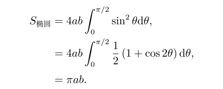
接下来可以尝试计算椭圆的面积。根据微积分的精神,在极坐标系下,整个椭圆的面积可以视为是极多个如图 3 所示的小三角形面积之和。用积分来表达,并利用方程(1),可以写出

求算这一积分需要相当复杂的数学技巧。

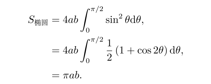
与之相反,建立直角坐标系中,并转而利用轨道方程(2),可以很方便地推导出椭圆面积的表达式。由于椭圆是关于 x、y 坐标轴都是对称的,整个椭圆的面积可以视为是在第一象限部分面积的四倍。这一部分的面积可以用如图 4 所示的一系列小矩阵的和来近似,也即

这一积分可以通过多次换元来求解。首先,引入换元

可以将积分重新表达为

再令

可以求得

此即椭圆的面积表达式,它正比于半长轴和半短轴距离的乘积。

张朝阳总结道:“选择恰当的坐标系是简化问题的关键。”在处理具体物理问题的时候,坐标系的选取往往是任意的,但决不是随意的。譬如在建立动力学方程、求解天体的绕转轨道时,球坐标是合适的;然而,到了要具体计算椭圆面积时,在直角坐标系下进行表达则会带来更多的便利。根据要解决的问题,合理地建立和切换不同的坐标系,是一个物理学者的基本功。
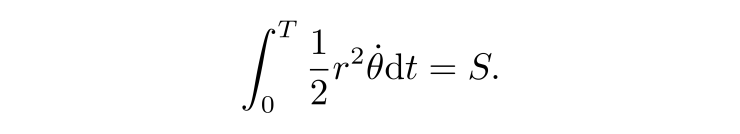
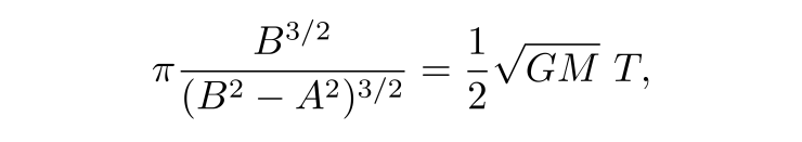
在天体力学中,椭圆的面积与开普勒第三定律息息相关。这一定律认为,绕中心天体的旋转的行星轨道,其半长轴的立方(a^3)正比于其周期的平方(T^2)。利用上面推导得到的椭圆面积表达式可以严格证明这一定律。在上一节直播课中可以知道,从牛顿定律出发可以得到行星的坐标应当满足恒等式

意味着角动量在运动中守恒。在等式两边同时除以1/2,并在一个周期内对时间进行积分,左边即得到

等号右边是个常数,于是有等式

成立。
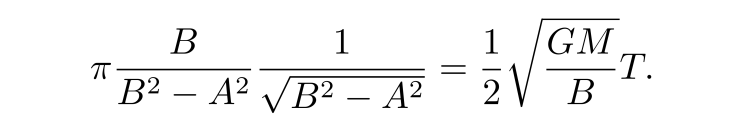
代入参数 a 和 b 与 A 和 B 的关系,可以将上式进一步改写为

整理上式,可以得到,

也即

此即开普勒第三定律的数学表达式,其中 M 是中心天体的质量,G 是牛顿引力常数。这一等式对任意质量的行星的轨道都成立,仅与中心天体的性质有关,正是广义相对论中等效原理的体现。
据了解,《张朝阳的物理课》于每周周日中午12时在搜狐视频直播,网友可以在搜狐视频APP“关注流”中搜索“张朝阳”,观看直播及往期完整视频回放;关注“张朝阳的物理课”账号,查看课程中的“知识点”短视频;此外,还可以在搜狐新闻APP的“搜狐科技”账号上,阅览每期物理课程的详细文章。

文章来源:搜狐科技
声明:本文由入驻焦点开放平台的作者撰写,除焦点官方账号外,观点仅代表作者本人,不代表焦点立场。
