量子力学中的基函数展开《张朝阳的物理课》数学物理杂谈
扫描到手机,新闻随时看
扫一扫,用手机看文章
更加方便分享给朋友
量子力学中有哪些“基底”?自由粒子又是如何在空间中运动的?如何对连续取值或无限区域上的物理量做展开?如何将复杂的中心力场散射问题进行分解分析?
3月8日12时30分,《张朝阳物理课》第二百七十七期开播,搜狐创始人、董事局主席兼CEO、物理学博士张朝阳继续“横切”物理中的数学,从一维和三维自由粒子的平面波入手,讲解了动量算符的本征态、平面波的正交归一性,以及它们如何构成自由粒子态空间的基底,并拓展至中心力场下的粒子,解释了角动量平方算符和z方向角动量算符在力学量完全集中的作用,并通过球谐函数和球贝塞尔函数展示了波函数在角向和径向的展开方式。
回顾上次物理课,我们对弦振动的波动方程进行双傅里叶展开。我们选用了函数空间中一组基函数

作为空间部分的展开。当弦的边界条件限制在有限区域时,基函数中的kn将被量子化,使得n取整数值。通过直接积分,我们也证明了这组函数基的正交归一性:

有了正交归一的性质,我们便能很方便地求得波动方程的解在此基下的展开系数。

上述基函数其实就是一组本征函数。对于一个矩阵或者二阶张量,我们将其对角化的过程等价于寻找该矩阵的本征矢并将其作为基矢展开。本征矢满足如下本征方程,

矩阵T对其本征矢V的作用使得V在线性空间中的方向不变,但模长乘以常数倍。在量子力学中,矩阵对应于希尔伯特空间中的算符,本征函数就是对应于算符的本征态(eigenstate)。
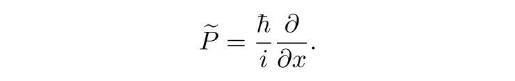
考虑一维自由粒子,动量算符为

其本征函数对应于自由粒子的波函数。我们可以将自由粒子的动量与波函数

带入动量算符的本征方程,显式地验证:


与上述弦振动的本征函数不同,动量算符的本征函数与本征值可连续取值。这反映了自由粒子不受限于有限空间区域的特点,其波函数呈现为无限延伸的平面波形式。那么自由粒子的波函数应如何定义正交归一关系呢?量子力学引入了复数,因此内积的定义中需要引入复共轭。对于任意一组正交归一的基函数我们定义

其中,方程右侧为狄拉克(Dirac)函数,其定义为

狄拉克函数应该理解为广义函数或一种分布,仅在积分之内才有实质意义。对任意函数与狄拉克函数做积分,我们有:

利用狄拉克函数的傅里叶变换

我们可以验证自由粒子的波函数的正交性,

其中,系数2π可以吸收进平面波函数的定义之中使其归一化。当然,我们也可以直接对该广义积分进行验证

最后一个等式右边在对p积分才有意义。当我们对p(或者等价的k-k')积分时,积分可以转化为一个经典的sin(x)/x的积分(其积分值为π):

因此,对比上述狄拉克函数的性质,我们可以得到如上所述的自由粒子波函数的正交性的积分结果。有了一组线性独立的正交归一的基函数,自由空间的任何波函数都可以用平面波的波函数展开

其展开系数就是波函数ψ的傅里叶变换。
我们通过一维动量算符的本征态,认识了一类连续的基函数。那么对于三维空间中的自由粒子来讲,存在三个动量算符

其坐标空间的具体形式为

对应的本征波函数为

这三个动量算符互相对易,

构成了一组力学量的完全集。系统的态空间可由三个动量算符本征态的张量积表示,任何量子态都可以在此基下展开为其本征态的线性组合。在坐标表象下,我们有

同时该波函数也满足矢量版本的本征方程

其中

自由粒子的能量算符(哈密顿量)为

能量算符十分重要,它决定了力学量随时间的演化。而自由粒子的能量算符与三个方向的动量算符互相对易,

这意味着自由粒子的能量算符与动量算符存在一组共同本征态,使得能量算符和动量算符可以被同时对角化。动量算符构成了一组力学量完全集,使得能量算符的本征值由动量本征值决定。
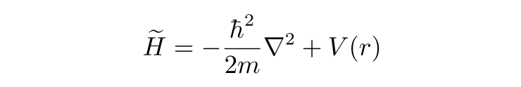
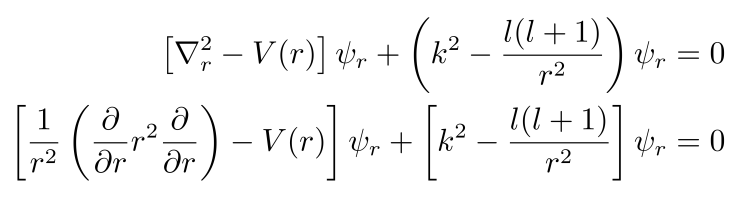
但对于非自由粒子,例如,中心力场V(r)下的氢原子

动量算符不再与能量算符对易,因此动量算符的本征态一般不再是哈密顿量的本征态。因此

不再是中心力场下能量算符的本征态。尽管任意波函数仍可以用该平面波进行展开,但此时能量算符在该基函数下不再是对角的。中心力场的一组力学量完全集由能量算符,角动量的平方算符,z方向的角动量算符构成

这三个力学量之间相互对易

我们选择坐标空间中r,θ,ϕ作为坐标,利用分离变量法分离波函数对各坐标的依赖

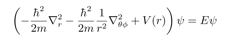
并将这一组完备可对易力学量的本征方程写为

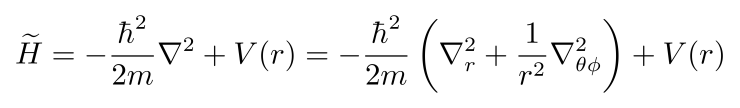
哈密顿量在坐标表象下的具体形式为

其中,能量算符中的拉普拉斯算符被分为径向和角向部分


角动量平方算符的具体形式为

因而可得

求解Lz对应的本征方程,可知波函数对ϕ方向的依赖可以e^{imϕ}展开,

令x=cosθ,可得

当磁量子数m=0,方程就退回到勒让德方程。若把角向的两个波函数合并在一起,则对应于我们熟知的球谐函数:

因此只要是中心力场,角向部分的依赖均可用球谐函数展开。回到哈密顿量的本征方程,中心力场下的氢原子的波函数可以写作

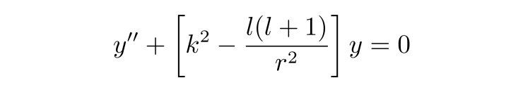
我们接着关注径向的部分

令

并将部分系数吸收进V(r)中可得径向本征方程

我们考虑V(r)=0的情况,此时方程的解必然为平面波。对应于将平面在此由能量算符,角动量的平方算符,z方向的角动量算符构成的力学量完全集所对应的基函数展开。当系统偏离或扰动平面波时,同样也是基于这个力学量完全集对应的基函数做展开。因此通过计算平面波的例子,足够求解出不同展开基函数以及其性质。
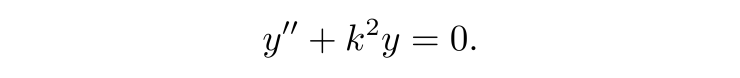
进一步对自变量作比内(Binet)变换 y=rψ可得

考虑l=0的情况,方程简化:

容易求得其解为

l=0的解表明,此时本征函数正是球面波。换句话说,平面波在这组基中被分离出了球面波。接着考虑一般的l不为0的情况,方程变为

其解就是标准的球贝塞尔函数(舍去物理上r=0发散的另一支解)


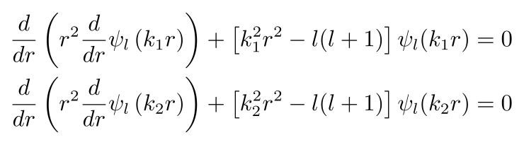
下面证明球贝塞尔函数的正交性

我们写出两个相同角量子数l不同k的球贝塞尔函数满足的两个方程

分别乘以 ψ(k2 r) 和 ψ(k1 r),相减并积分则有

因而正交性的积分转化为

等式右边来自于全导数积分变为边界项之差。

对于r=0的值,回到球贝塞尔方程我们有

因此易得积分下限为0。对于积分上限r为无穷的时,情况稍微复杂,且正交性中的狄拉克函数也来自于此。利用球贝塞尔函数的定义式

我们考虑r趋近无穷时衰减最慢的项,也即是上式导数算符只作用到三角函数上的情况。因此球贝塞尔函数jl的渐近行为可写为

因此将此渐近行为带入边界项,利用积化和差公式,通过直接但冗长地计算可得

该式显然在r趋于无穷时振荡不收敛,一般函数意义下并无定义,但在广义函数下有实质意义。类似于前文对平面波正交性的讨论,上式第一项在和其它函数积分的情况下会贡献出正比于狄拉克函数的项:

其中,我们利用了前文讨论过的广义函数分布意义下成立的等式,

考虑第二项,我们仅考虑k1,k2为正的情况,第二项则无奇异性产生,当与其它函数积分时,会发生高频振荡,使得积分正负抵消

因此,球贝塞尔函数的正交性可以写为

据了解,《张朝阳的物理课》于每周周日中午12时在搜狐视频直播,网友可以在搜狐视频APP“关注流”中搜索“张朝阳”,观看直播及往期完整视频回放;关注“张朝阳的物理课”账号,查看课程中的“知识点”短视频;此外,还可以在搜狐新闻APP的“搜狐科技”账号上,阅览每期物理课程的详细文章。
声明:本文由入驻焦点开放平台的作者撰写,除焦点官方账号外,观点仅代表作者本人,不代表焦点立场。
