地球真实引力势不简单?《张朝阳的物理课》求近球形旋转椭球体引力势
扫描到手机,新闻随时看
扫一扫,用手机看文章
更加方便分享给朋友
为什么地球真实的引力势并非是均匀球体的引力势?旋转对称的近球形均匀椭球体的引力势该怎么求?3月22日12时,《张朝阳的物理课》第二百七十九期开播,搜狐创始人、董事局主席兼CEO、麻省理工物理学博士张朝阳坐镇搜狐视频直播间,先给网友科普了地球为什么不是一个完美的球体、哪些作用会导致地球形变?随后推导了近球形旋转椭球体表面方程的微扰展开式,并以此为基础求出了近球形旋转椭球体的外部引力势。

作为近球形旋转椭球体的地球
即使忽略地球表面的山川、湖泊这些地形起伏,地球也并不是完美的球体。因为在地球的自转作用下,地球赤道会“隆起”,而两极会“下陷”,形成一个扁椭球体的形状,其中赤道半径比极半径长了足足 21.4 千米。除此之外,在月球和太阳的潮汐作用下,地球也会发生形变。不过,潮汐形变相对于自转形变来说几乎可以忽略,这是因为地球的固体潮高度处于零点几米这样的量级,与自转导致的半径差相比简直微乎其微。所以,让地球外部引力势产生偏离的主要原因就是地球自转所导致的形变。
假设地球是密度均匀的,那么可以从力学上证明:如果考虑的是小转速下的地球形变,地球形状的精确会是旋转对称的椭球体;如果考虑的是潮汐力所引起的形变,忽略地球自转,并且只取潮汐力的一阶项,那么地球形状的精确解也会是旋转对称的椭球体。因此,这两种形变所导致的新形状都可以统一到旋转对称的椭球体上。而旋转对称的椭球体,在数学上被称为旋转椭球体。不过话说回来,尽管地球实际形状为旋转椭球体,但是其偏离球体的程度并不大,因此地球的形状更应该被称为“近球形旋转对称椭球体”。
介绍完地球形状的基本知识之后,张朝阳开始推导地球表面方程的微扰展开式。如下图所示,过地球旋转对称轴作一截面,此截面为椭圆,两半轴分别为 a 和 b,其中 a 是与旋转对称轴共线的半轴。
设地球的平均半径为 R,定义地球的偏心率为

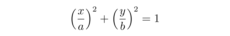
如前面介绍的那样,如果地球是密度均匀的,那么其表面形状会是严格的旋转椭球形状。在上图的截面中,选取适当的直角坐标系后,地球表面由如下椭圆方程描述:

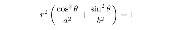
使用直角坐标与极坐标的关系式:

可以将地球表面的椭圆方程改写成这样:

利用三角恒等式将其中的正弦函数改写成余弦,可以得到

考虑到 r>0,于是

在近球形的情况下,偏心率远小于 1,且 a≈b≈R,于是

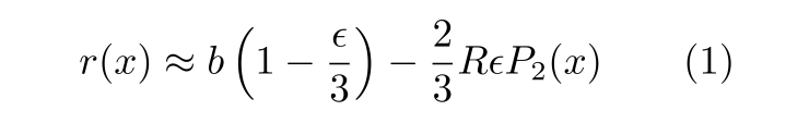
上式中间的约等号相当于忽略了 ε 二次以上的项,只保留了 ε 一次项。因此,接下来的推导也将只保留到 ε 的一次项。将上式代入 r 的等式中,可以得到

为了后面的推导过程简洁,设 x=cosθ。接着,按展开到 ε 一次项的标准来展开上式,有

注意到上式最后一行出现了二阶勒让德多项式 P_2=(3x²-1)/2,借此可将上式改写为

请注意,整个推导过程都是在保留到 ε 一次项的要求下进行的。对于上式约等号右边第二项中的 b,它约等于地球平均半径 R,由于这一项乘有一个 ε,因此将这一项的 b 替换成 R,只会带来ε² 阶的误差,这样的误差可以被忽略,于是得到

此式还不是得到的最终结果,因为它还可以被进一步化简。由于 R 是平均半径,根据球面平均的定义,有

将前面得到的 r(x) 表达式代入上式,利用勒让德多项式的正交性,例如 P_2(x) 与 P_0(x) 正交,所以 P_2(x) 在区间 [-1,1] 上的积分为零。可以得到

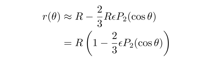
这说明在式(1)中,约等号右边第一部分可以直接替换为平均半径 R,于是有

这就是地球表面方程在展开到偏心率一阶项所得到的结果。
近球形旋转椭球体的外部引力势
在得到地球表面方程的一阶近似表达式之后,张朝阳开始推导此形状下的地球外部引力势。在地球外部,引力势满足方程:

考虑到旋转对称性,然后使用上一次物理课所介绍的分离变量法,可以知道外部引力势的一般解为

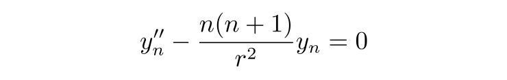
如果设 y_n=r*f_n,那么 y_n 满足如下方程:

它的通解为

其中,a1和a2是两个待定常数。由此得到 f_n 的通解为

对于地球外部引力势,当 r 趋向无穷时,引力势必须趋向零,因此 f_n 通解中的系数 a_1 必须等于零。由此,得到了地球外部引力势的一般形式如下:

为了求出其中的系数,考虑 θ=0 处作为“边界条件”。按照上式,借助勒让德多项式在 x=1 处的值,可知 θ=0 处的引力势为

接下来,张朝阳打算通过直接积分来求出 θ=0 处的引力势。为此,考虑如下示意图:
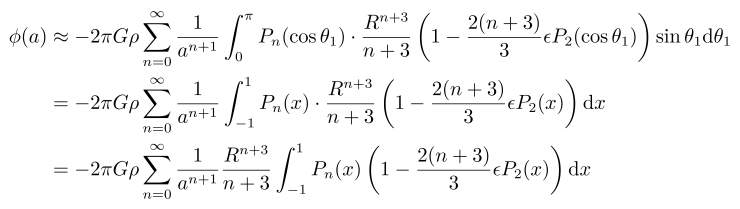
其中的水平直线就是旋转对称轴(也就是前面说的 θ=0 的那些位置),考虑其上到地球中心距离为 a 的点,设地球质量微元到该点的距离为 l,那么可以直接积分得到该点处的引力势:

其中,ρ 是地球密度,r 和 θ_1 是质量微元的球坐标的其中两个坐标分量。在这里,r 是积分元,a 是旋转对称轴上点到地球中心的距离,请务必区分前文已经出现过的符号 r 和 a。在上一期物理直播课中,张朝阳介绍了 l 的勒让德展开式。在这里,直接使用该结果,引力势被化为

利用前面已经得到的地球表面方程展开式:

可以得到

将其代入 ϕ(a) 的表达式中,可得

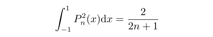
在上式中的第二行,已经做了积分换元 x=cos(θ_1)。考虑到勒让德多项式的正交关系,并且 P_0(x)=1 ,由此可知上式最后一行的积分中,只有 n=0 和 n=2 能够有非零结果,其它 n 的取值都只能得到零结果。再考虑到勒让德多项式的模方:

于是,当 n=0 时有

当 n=2 则有

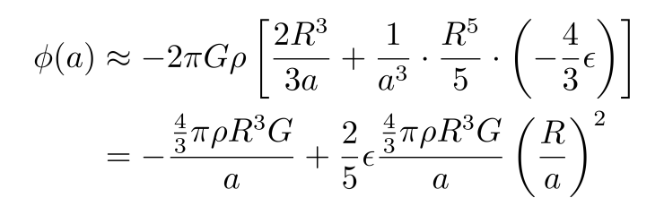
将这两个结果代回 ϕ(a) 的表达式中,可得

对于目前所考虑的地球模型,是一个旋转对称的椭球体,精确的体积为 (4/3)πab²,不过可以证明的是,它与 (4/3)πR³ 的差为

由此可见,将地球体积看成是 (4/3)πR³ ,只会带来ε² 阶的误差。于是,可以将 ϕ(a) 表达式中的 (4/3)πR³ 替换成地球体积 V,并进一步将 Vρ 写成地球质量 M,由此得到

回看前面通过分离变量法,然后取 θ=0 所得到的式(2),那里的 r 相当于这里的 a,重写下来就是

将其与式(3)对比,由于a是任取的,立即可以得到

其他 c_n 在 ε 的一阶近似下都为零。将所得系数代回 ϕ(r,θ) 的一般表达式中,可以得到

这就是张朝阳最终得到的地球外部引力势在 ε 的一阶近似下的表达式。
需要补充说明的一点是,在均匀椭球模型下,引力势有精确的闭式解。但是这并不能否认微扰法的价值,比如这里使用的方法,可以非常轻松地推广到非均匀密度的情况,而这样的情况并没有存在普遍的闭式解。
据了解,《张朝阳的物理课》于每周周日中午12时在搜狐视频直播,网友可以在搜狐视频APP“关注流”中搜索“张朝阳”,观看直播及往期完整视频回放;关注“张朝阳的物理课”账号,查看课程中的“知识点”短视频;此外,还可以在搜狐新闻APP的“搜狐科技”账号上,阅览每期物理课程的详细文章。
文章来源:搜狐科技
声明:本文由入驻焦点开放平台的作者撰写,除焦点官方账号外,观点仅代表作者本人,不代表焦点立场。
