如何把矢量微积分推广到弯曲空间?《张朝阳的物理课》梳理微分几何主线
扫描到手机,新闻随时看
扫一扫,用手机看文章
更加方便分享给朋友
如何从坐标基矢出发,一步步建立起张量的分量、协变导数和度规相容之间的联系?3月28日14时,《张朝阳的物理课》第二百八十期开播,搜狐创始人、董事局主席兼首席执行官、物理学博士张朝阳走进香港科技大学,向港科大的师生们系统地介绍了如何以矢量微积分的精神理解微分几何。首先定义坐标线的切矢为坐标基矢,然后用对偶基矢的方式建立起张量的描述语言,并用这套语言打通了克氏符的表达式与度规张量的性质这两大知识点,为观众建立起清晰明了的微分几何图像。
定义对偶坐标基矢
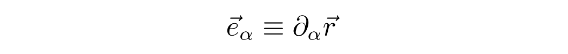
为了给空间一个描述,人们通常需要在空间中各个点上建立相应的坐标系与基矢,在本堂课中,张朝阳采用的是坐标基矢。设空间中一点的位置矢量为
,则与坐标系绑定的“坐标下基矢”定义为沿坐标线的切矢,例如沿坐标
对位置矢量求导得到的坐标基矢在形式上就可以记为

需要注意的是,位置矢量这一概念在弯曲空间中是比较含糊的,例如对于二维球面,如果把坐标原点取在球心处,那么位置矢量是存在于超出二维球面之外的径向方向上的。不过位矢微元dr依然落在球面的切空间中,这一点可以通过嵌入到三维平直空间下的球坐标系来考虑。记 (r,θ,φ)方向的单位基矢分别为e_r,e_θ,e_φ,那么在三维空间中与之相对应的坐标基矢为

对于二维球面,取后两个坐标基矢即可。
对于任意矢量
,可以用坐标下基矢与逆变分量线性组合的形式写成

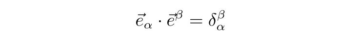
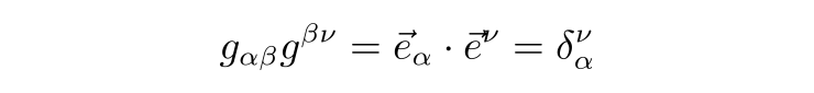
由切矢定义出的坐标下基矢不一定是正交的,为了计算出逆变分量,可以定义与 e_α 对偶的一组上基矢 e^β,它们满足正交归一关系

两边同时点乘上基矢,就得到它相应的逆变分量

另一方面,还可以把 矢量V 按上基矢与协变分量的线性组合展开

两边同时点乘下基矢,可得到它相应的协变分量

以上说明同一个矢量既可由下基矢与逆变分量描述,也可由上基矢与协变分量描述。对二阶张量,同样可以写出多种等价展开式

第二个式子是 (2,0)型、第三、四个式子是(1,1)型、第五个式子是(0,2)型。
度规张量及其升降功能
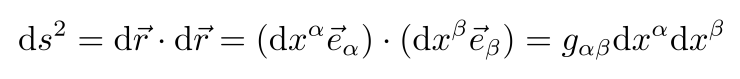
在确定了坐标基矢以后,可以定义下基矢之间的内积为度规张量的协变分量:

考虑到位矢微元按下基矢展开的系数正好是坐标微元

位矢微元自身求内积,就能得到线元

度规实际上承载了空间的几何性质,根据度规的形式,能求出空间的克氏符和黎曼曲率张量,从而代入爱因斯坦场方程中反解出度规的表达式,这基本上就是广义相对论的研究流程。有了度规,任意两个矢量 U、V 的内积也被固定下来:

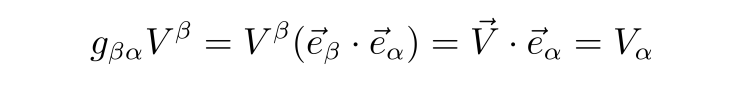
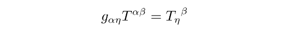
度规的第一个功能是升降分量的指标。根据协变分量的定义,

即协变度规能够把逆变分量降为协变分量。如果再把逆变度规定义为上基矢的内积

那么逆变度规也能把协变分量升为逆变分量

度规的第二个功能是升降上下基矢。考虑到基矢本身是一个矢量,有

第二个等号是因为,将e_β 看成一个矢量,它与 e_α 点乘后得到相应的协变分量,再与上基矢线性组合后,就回到了原本的矢量。同理有

这两式与度规升降分量指标的形式相似,但要注意基矢所携带的指标并不是指第几个分量,而是指第几个基矢。
介绍了度规张量的两个功能后,张朝阳回过头来证明刚刚用上基矢的内积定义逆变度规的合理性。在本课程的框架中,二阶张量的逆变或协变分量都是定义为下基矢或上基矢前的展开系数,而利用度规升降上下基矢的作用,可以发现

这样就证明了逆变度规确实可以被定义为上基矢的内积。还可以证明协变度规和逆变度规互逆

对二阶张量,度规同样可以进行指标的升降,比如对于
型二阶张量

从最后两式的展开系数可以看出

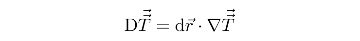
张量的微分与梯度
之前是在一个空间点上考虑张量,接下来讨论张量场
。对于张量场,人们很关心它在空间中分布的变化情况,因为很多物理定律都包含了微分运算。先来看看一阶张量按逆变分量和下基矢展开的情况

当场点 x 发生一个微小变化 dx^γ 后,根据莱布尼兹法则,张量的微分为

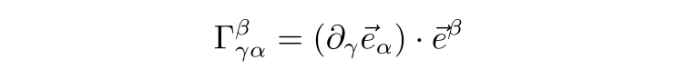
这里出现了两类变化源:一类来自分量F^α本身,另一类来自基矢 e_α 随场点改变而发生的变化。将上式与上基矢点乘,就得到微分的逆变分量

定义克氏符

那么逆变分量的协变导数就可以写成

不过这里还留有一个问题:下基矢的偏导数在弯曲空间中并没有良好的定义,因为不同场点的矢量属于不同的切空间,需要平行移动到同一个场点才能相减。
对此张朝阳指出,数学上已经证明了弯曲空间可以等距嵌入到更高维的平直空间中,在嵌入后,两个不同场点的矢量可以不经额外处理直接相减,得到的差矢量也许会超出到低维弯曲空间外,但再与相应的上基矢做内积后,就能让协变导数的结果回到弯曲空间中。克氏符本身并不是三阶张量,它并不满足坐标变换规律。
如果改从协变分量 F_α 出发,则先对正交归一关系

求偏导,可得

有了这个关系式,再经过与逆变分量 F^α 类似的推导过程,可以得到协变分量的协变导数为

对二阶张量T,协变导数的结果可以类似地推导出来,有

张朝阳随后强调,在本课程采用的坐标基矢约定下

从而立刻得到

也就是说,克氏符的两个下指标对称,这对应于空间无挠。

刚推导出了张量的微分,它作为一阶张量的完整的基矢表达式是

它可以看做位矢微元与下面这个二阶张量的缩并

这个二阶张量被称为梯度张量,于是有

这说明协变导数正是梯度张量的分量。以上的推导还启发我们,梯度的概念不仅适用于标量场,更是可以推广到任意阶的张量场。张量求梯度后阶数会增大一阶,再与位矢微元缩并后,就能得到同阶的张量微元。例如二阶张量T的梯度是一个三阶张量

它与位矢微元点乘后得到二阶张量的微分

克氏符的度规表达式
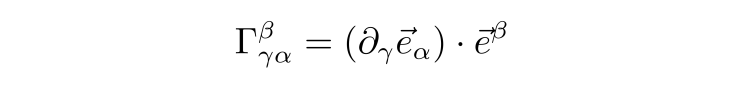
在前一节中,克氏符是由“下基矢对坐标求偏导,再与上基矢内积”定义出来的:

这一表达式几何意义清晰,但在实际计算中往往不够直接,因为很难先把基矢对坐标的偏导显式写出。为此,张朝阳介绍了克氏符的另一个表达式

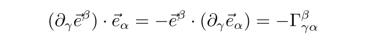
这个表达式只用计算度规对坐标的偏导,在代数运算上更加方便。接下来证明这个表达式。将下基矢的点乘代入协变度规中,对三项偏导,分别有

将前两式相加再减去第三式,并利用坐标基矢偏导的对称性,可得

将这一结果代入本节开头介绍的克氏符的表达式中,可得

这样就回到了之前克氏符用对偶基矢写下的定义式。

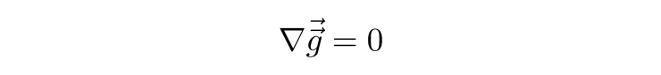
度规的梯度为零
在得到克氏符的度规表达式后,度规张量还有最后一个核心性质:与度规相适配的协变导数必然导致度规张量的梯度为零。下面证明这个性质,对度规的协变分量求协变导数

将度规和克氏符都用相应的基矢表达式代入

把度规整体看成张量,就得到

据了解,《张朝阳的物理课》于每周周日中午12时在搜狐视频直播,网友可以在搜狐视频APP“关注流”中搜索“张朝阳”,观看直播及往期完整视频回放;关注“张朝阳的物理课”账号,查看课程中的“知识点”短视频;此外,还可以在搜狐新闻APP的“搜狐科技”账号上,阅览每期物理课程的详细文章。
文章来源:搜狐科技
声明:本文由入驻焦点开放平台的作者撰写,除焦点官方账号外,观点仅代表作者本人,不代表焦点立场。
