如何计算3I/ATLAS轨道与时间的关系?《张朝阳的物理课》探寻3I/ATLAS彗星的轨道性质
扫描到手机,新闻随时看
扫一扫,用手机看文章
更加方便分享给朋友
文章来源:搜狐科技
来自太阳系之外的访客——3I/ATLAS——在近日掠过地球,引发了广泛关注。它究竟沿着怎样的轨道穿越太阳系?而在它距离地球最近的那一刻,它与太阳的距离又是多少?11月22日12时,《张朝阳的物理课》第二百六十七期开播,搜狐创始人、董事局主席兼CEO、物理学博士张朝阳坐镇搜狐视频直播间,首先介绍了 3I/ATLAS 彗星的基本情况。随后,从最基础的天体力学出发,推导出其轨道方程,并进一步建立起时间与天体角位置之间的关系。在此基础上,最终算出了 3I/ATLAS 在最接近地球时与太阳的距离。
3I/ATLAS彗星的动力学

3I/ATLAS彗星是一颗来自太阳系之外的星际彗星,于2025年7月1日由Asteroid Terrestrial‑impact Last Alert System (ATLAS) 在智利发现。它沿极度倾斜且为双曲线的轨道穿越太阳系,因其轨道偏心率高达约6.12,远大于1,因此并非受太阳的引力束缚而是从外太空掠过。其进入太阳系后于10月29日经过近日点,当时距离太阳约为1.356 AU(AU 为天文学单位,约等于 1.5 亿千米)。其速度约68.3 km/s。3I/ATLAS的轨道与黄道几乎反向(倾角约175°),表明其运动为逆行,并且来源方向可能指向银河系的厚盘或薄盘成分。在12月19日,该天体与地球的距离达到最小,此时它与太阳的距离约为2.22AU。通过光谱观测发现其彗发含有异常丰沛的二氧化碳,这在彗星中较为罕见,暗示其可能起源于形成环境非常寒冷、远离恒星的星际空间。
为了推导上述轨道参数,我们从最基本的天体力学方程出发。考虑天体在太阳引力作用下的运动,由于其轨迹位于同一平面内,我们可以在该平面上建立极坐标系 (r,θ),其中θ为角坐标,r 为径向距离。相应的单位矢量为

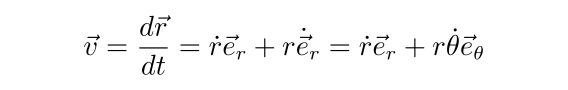
天体的位置矢量可写为

对其求导得到速度矢量

其中点表示对时间的导数。进一步求导得到加速度:

另一方面,根据牛顿万有引力定律,3I/ATLAS受到太阳作用的引力加速度为


与加速度表达式比较,即可得到径向与角向方程:

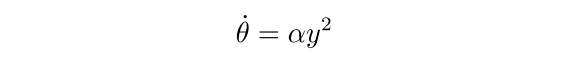
角向方程给出

其中常数α表示单位质量的角动量。对于径向方程,我们的第一步并不是直接求解r(t),而是将其转化为关于角变量的函数r(θ),因为r(θ)直接刻画了天体轨道的形状。为此,我们对径向速度进行如下变形:

令y=1/r,得到

这里的撇表示对角变量θ求导。同样地,角向方程可写成

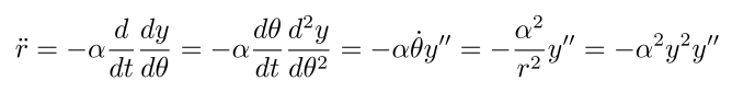
接下来处理径向加速度。对径向速度再求一次时间导数

将其代回径向运动方程,并利用角向方程,可得:

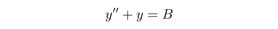
化简后得到关于y(θ)的二阶常微分方程:

其中

则该方程的通解为

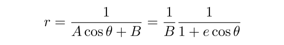
因此,利用y=1/r,轨道方程可写为

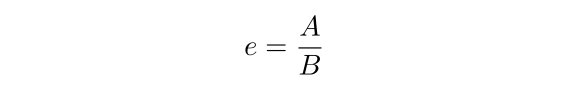
其中,偏心率e的定义为

因此,当AB时轨道为双曲线,θ的取值范围为[0, arccos (-1/e))。
3I/ATLAS 的轨道参数及其距离地球最近的时刻

对于3I/ATLAS,其轨道偏心率为e=A/B = 6.12。近日点时间为 2025年10月29日,近日点距离为1.356AU。当天体经过近日点时的速度为68.3km/s,远离太阳系后渐近速度为58km/s。其轨道平面与黄道面的夹角为ι=175.11度,近日点幅角为ω=128度,升交点经度为Ω=322度。在12月19日,3I/ATLAS离地球最近,为1.8AU。其与火星、木星的最近距离分别为0.19AU与0.2467AU。
根据上述参数,我们将其代入轨道方程中。首先由近日点速度与近日点距离,可计算出单位质量的角动量:

因此,常数B为

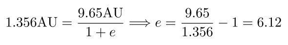
利用近日点距离1.356AU,可进一步验证偏心率:

与官方公布的结果完全一致。
已知12月19日为近日点后约50天,我们希望计算此时3I/ATLAS与太阳的距离。根据角向方程:

将轨道方程r = 1/(A cosθ + B)代入:

利用e = A/B,可化为:

积分后得到

左边可计算为:


右边的结果为

两边相等得到

令Δt=50天,将数值代入,解得:

由此可得近日点后50天时的日心距离

该结果与观测公布值完全一致。
据了解,《张朝阳的物理课》于每周周日中午12时在搜狐视频直播,网友可以在搜狐视频APP“关注流”中搜索“张朝阳”,观看直播及往期完整视频回放;关注“张朝阳的物理课”账号,查看课程中的“知识点”短视频;此外,还可以在搜狐新闻APP的“搜狐科技”账号上,阅览每期物理课程的详细文章。

声明:本文由入驻焦点开放平台的作者撰写,除焦点官方账号外,观点仅代表作者本人,不代表焦点立场。
