L4拉格朗日点在哪里?《张朝阳的物理课》精确求解L4点的位置
扫描到手机,新闻随时看
扫一扫,用手机看文章
更加方便分享给朋友
第四个拉格朗日点的位置在哪里?它真的与两个大质量星球形成一个正三角形吗?1月4日12时,《张朝阳的物理课》第二百七十一期开播,搜狐创始人、董事局主席兼CEO、麻省理工物理学博士张朝阳坐镇搜狐视频直播间,利用旋转参考系上的总势场,通过预设第四个拉格朗日点(L4)的位置与两个大质量星球形成一个正三角形,并求梯度证明了静止于该位置上的粒子受力为零,从而确认了预设的L4位置是正确的位置。
太阳-木星系统的运动
直播一开始,张朝阳介绍了本次课程的主要目的,完成跨年演讲时由于时间关系未能细讲的拉格朗日点的推导,其中主要是第四个拉格朗日点(L4)位置的推导。
为了精确求出L4点的位置,张朝阳先给网友们明确与之相关的问题背景。以太阳与木星为例,忽略轨道的偏心率,将木星的轨道看成是圆轨道。和其他行星不同的是,由于木星的质量比较大,太阳与木星所组成系统的质心并不在太阳内部,因此不适宜将太阳质量近似为无穷大。忽略其他行星的影响,日木系统其实是绕着它们的质心一起公转的,太阳和木星的轨道都是圆轨道(按照前面所说的近似)。
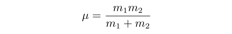
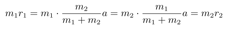
假设木星到太阳的距离为a,太阳的质量为m1,木星的质量为m2,那么太阳到质心的距离r1、木星到质心的距离r2分别为

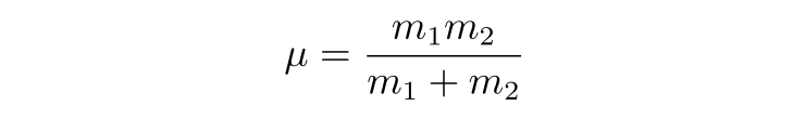
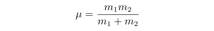
系统的约化质量为

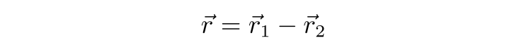
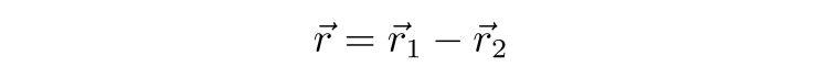
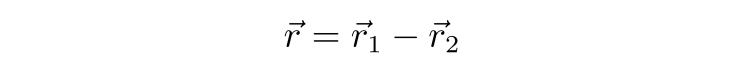
系统总质量为M=m1+m2,木星到太阳的位置矢量为

在上式中,质心被取为了坐标原点,矢量r1是太阳的位置矢量,矢量r2是木星的位置矢量。在此约定下,矢量r的运动方程为

在之前的物理直播课中,张朝阳已经推导过此方程,可以查看相关的直播回放了解。上式等号两边的μ可以被消掉。假设日木系统公转角速度为ω,那么根据上式可以得到

或者将其写为

通过这个式子,可以由日木距离得到公转角速度。
通过势的梯度检验L4位置的力为零
与拉格朗日点有关的问题是一种受限三体问题,其中第三个物体,其质量小到可以忽略,比如常见的宇航器,它的引力对太阳和木星的运动几乎没有影响。在这种小质量近似下,存在一些特殊的解,宇航器可以不费任何燃料地与太阳、木星保持相对静止,宇航器不会因为受到太阳或者木星的引力作用而掉到其中一颗星球上。
在与太阳-木星系统保持静止的旋转参考系上,前述介绍的解就相当于静止解,因此在相应的位置上静止质点的受力应该为零。于是,拉格朗日点的求解就转化成了受力平衡位置的求解。不过即便如此,L4与L5也不容易求得,需要一些技巧才行。为了避免受力分析的麻烦,再加上引力和惯性离心力都是保守力,可由势能函数的梯度来描述。因此,张朝阳使用了势能函数,这是一个标量函数,相比于力这种矢量来说可以少很多个分量,因此处理起来会更简单。
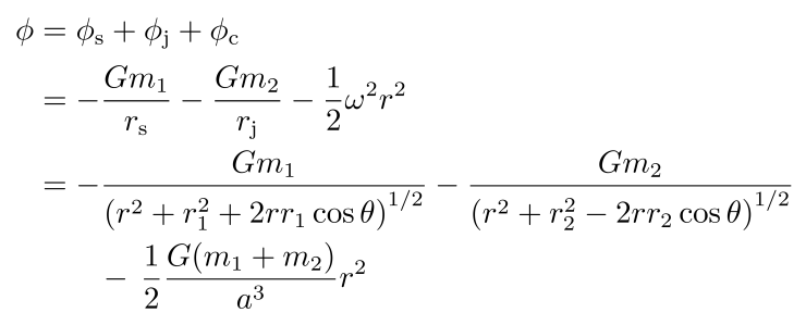
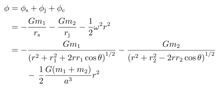
对于任一位置矢量r(请不要与前一小节使用的太阳-木星的相对位置矢量混淆),定义如下两个矢量:

换言之,r_s是从太阳到位置r的矢量,r_j是从木星到位置r的矢量,具体可以参看下图。
在与太阳-木星系统保持静止的旋转参考系上,除了存在太阳、木星的引力势以外,还存在旋转所导致的惯性势。假设宇航器具有单位质量,那么总势为

其中,已经使用了前一小节最后得到的(1)式来替换掉了ω²。θ为矢量r与矢量r2的夹角,具体请参见前面介绍的示意图。
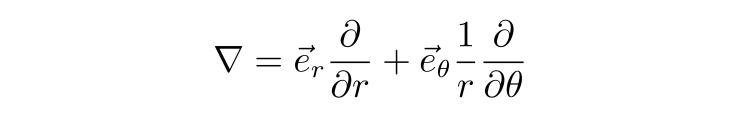
紧接着,张朝阳介绍力与势的关系如下所示:

目前的问题可以看成是一个二维问题,在极坐标下有

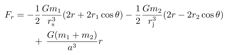
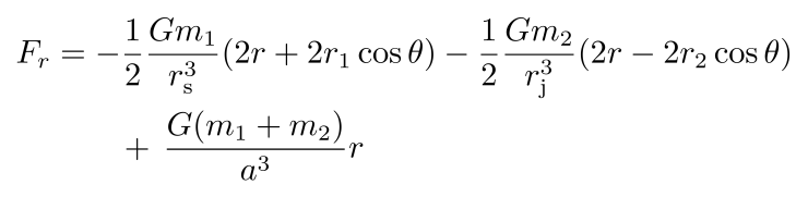
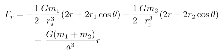
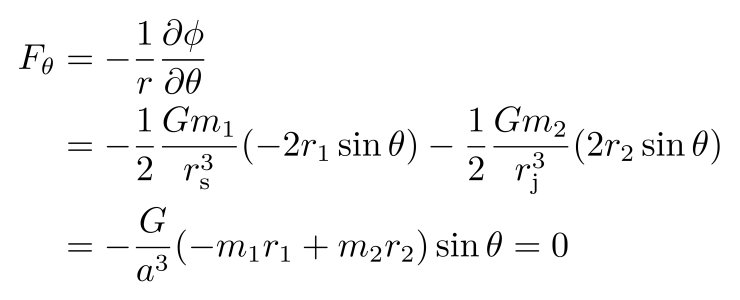
先求径向的力,这可以通过求势能对r偏导数的负一倍得到:

正常来说,需要通过设方程Fr=0来求解问题,得到相应的拉格朗日点所满足的方程。不过张朝阳使用了假设-检验法来求解,主要思路就是,假设某个点是拉格朗日点,然后检验其上的受力是否为零,如果为零,那么这个点确实是拉格朗日点。基于这一点,他假设在L4处,有r_s=r_j=a,换言之这一点与太阳、木星组成一个正三角形。
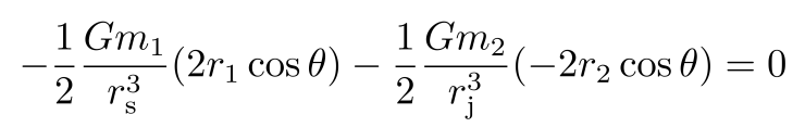
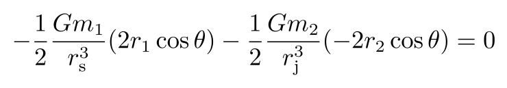
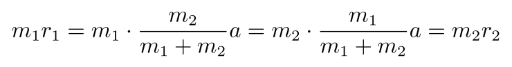
考虑到r1、r2与a的关系,可以得到

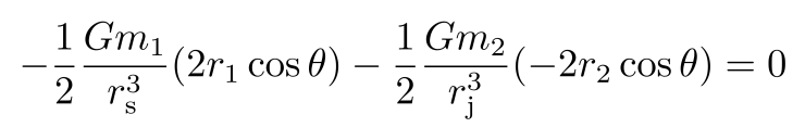
再结合r_s=r_j=a这个假设,可以得到

也就是说,在Fr的表达式中,与cos(θ)有关的部分正好互相抵消。而剩下的部分容易知道也等于零:

由此可见,在满足r_s=r_j=a的位置上,径向力确实等于零。
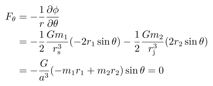
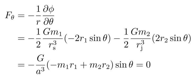
在得到径向力为零之后,检验切向力为零就简单得多了,这可以通过直接计算得到:

在上式的最后一步使用了前面得到的结论:m1*r1=m2*r2。
由于径向力与切向力都为零,可见在满足r_s=r_j=a的位置上,质点所受合力确实为零,因此这就是相应的拉格朗日点所在位置。张朝阳进一步强调,这个点并没有处在木星的公转轨道上,这是很多人的误解。只有当太阳质量变得无穷大,太阳-木星系统的质心精确处于太阳中心时,L4点才精确地处于木星的公转轨道上。
直播最后,张朝阳还求解了L2点的位置,感兴趣的读者可以查看本期直播课程的回放,也可以在《张朝阳的物理课》第二卷中找到相应的推导。
据了解,《张朝阳的物理课》于每周周日中午12时在搜狐视频直播,网友可以在搜狐视频APP“关注流”中搜索“张朝阳”,观看直播及往期完整视频回放;关注“张朝阳的物理课”账号,查看课程中的“知识点”短视频;此外,还可以在搜狐新闻APP的“搜狐科技”账号上,阅览每期物理课程的详细文章。
文章来源:搜狐科技
声明:本文由入驻焦点开放平台的作者撰写,除焦点官方账号外,观点仅代表作者本人,不代表焦点立场。
