物理世界如何被线性空间所描述?《张朝阳的物理课》数学物理杂谈

搜狐焦点华东区 2026-03-06 15:05:00
用手机看
扫描到手机,新闻随时看

扫一扫,用手机看文章
更加方便分享给朋友

《张朝阳物理课》讲解线性空间与基矢,阐述其在量子力学、偏微分方程及AI中的应用。

如何用线性的语言描述物理世界?线性空间如何出现在物理学研究中的方方面面?量子力学是由怎样的线性空间所描述?如何利用函数作为函数空间的基矢求解各类偏微分方程?

我们的世界运行的底层逻辑与规律由物理描述,而我们描述物理的语言则是数学。回顾《张朝阳的物理课》过去几年的研习,可以看到课程中涉及了数学物理方法各个方面的知识,而贯穿始终的最重要的概念就是线性空间、线性变换、线性组合以及其中定义的内积。我们的物理世界大多都能用线性空间的语言描述,例如,我们熟知的导数是微分的线性部分;希尔伯特空间作为线性空间则是量子力学的基础;在广义相对论中,弯曲时空中局域的每一时空点都可用线性的闵氏时空所描述;甚至人工智能(AI)中的许多计算,其本质也是在线性空间中进行。因此当我们研究清楚了线性空间的概念以及线性独立的基矢的性质及其运算后,线性空间中的其他元素便可被唯一表示,描述物理系统便可举一反三。

3月1日12时,《张朝阳物理课》第二百七十六期开播,搜狐创始人、董事局主席兼CEO、物理学博士张朝阳从整体的视角,总结讲解线性空间以及其中线性独立的基矢,线性算符,线性叠加,基矢展开等重要概念,并举例说明其在流体力学,量子力学,偏微分方程的求解,甚至AI中的广泛应用。

线性空间,矢量,基矢展开与线性变换

先考虑最简单的三维线性空间,也就是三维欧氏空间。矢量作为线性空间里的元素,也称作向量,同时也是一阶张量。我们定义此空间中任意两个矢量之间的点乘为其模长之积再乘以夹角的余弦值,

由点乘的定义,我们可以定义此线性空间中的一组线性独立的单位基矢,

其中,基矢i,j,k的点乘满足归一化

以及正交性

正交归一的基矢非常重要,也非常方便。此线性空间中的任一矢量都可用这三个单位基矢唯一表示

基矢的正交归一性使得我们可以方便地求出线性展开的系数。例如

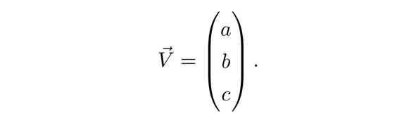
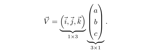
整个矢量V就可表示为

利用矩阵相乘的法则,我们可以用3x1的列矩阵表示展开系数,1x3的行矩阵表示基矢

通常确定了基矢后,我们就可以省略基矢的部分,用其分量表示矢量V

利用上述表示,我们也可以方便地计描述线性空间中两个矢量U,V之间的变换,

其中,A为该线性空间的线性算符,在给定基矢下可用3x3矩阵表示,

进一步,利用我们在张量分析中引入的上下基矢(见后文)以及张量积的概念,线性算符、矢量以及相应内积的表达可以更简洁高效地写出:

流体力学中的表面张力与应力张量

矢量是一阶张量,矩阵就是二阶张量,它能把线性空间中的一个矢量线性变换成另一个矢量。这样的例子在矢量微积分中无处不在。例如流体力学中的应力张量(stress tensor)与表面张力的变换关系,

其中,dS为流体表面的一个面积微元,可理解为微元面积与所在平面的单位法矢的乘积,在Navier-Stokes流体理论中,应力张量显式表达为

对于上述变换关系,我们既可以理解为:T是二阶张量,dS是一阶张量,缩并一次减少两个指标,因此得到的结果为2+1-2=1阶张量。也可以从线性变换的角度,T作为线性变换的矩阵,将单位面积的微元矢量dS变成其所受的力。

AI中的矢量与线性空间

在大语言模型中,我们表达语言的基本单元也是用高维线性空间中的矢量表达。例如,苹果、梨、万有引力,手机等词语,都可以表示为高维线性空间中的一个矢量。它们在高维线性空间中独立存在,每个词对应的矢量之间存在相应的距离。两个矢量越近,则夹角越小,对应的矢量内积则越大,所表示的语言含义的关联则越近。例如,在牛顿之前,苹果、梨与万有引力之间的距离应该较远。在牛顿因被苹果砸中而受到启发提出万有引力定律之后,苹果与万有引力比苹果与梨在高维线性空间的距离更近。

此外,大语言模型训练过程就是不断地去调整特定参数,使得相应语言对应的矢量之间的分布、夹角能够准确代表我们人类的知识。其中所用的计算也就是高维线性空间的基本矢量运算。在调整矢量分布以及夹角的过程中,各个矢量会不断地被矩阵去作用,赋予一定权重,并调整对应矢量的位置。每完成一次整体计算,便评估一次输出概率,再根据当前结果用梯度下降调整参数并重复计算,逐步使得模型参数能逼近我们人类的知识。

广义相对论中的非正交基矢

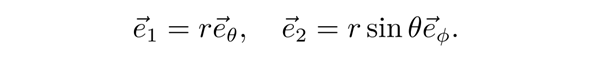
在广义相对论所描述的弯曲时空中,非正交归一的基矢普遍存在。例如,考虑二维球面嵌入三维的平直时空。假设三维空间的坐标为r,θ,ϕ,其θ,ϕ方向的坐标基矢也是二维球面的切矢e1,e2:

但这样的一组切矢虽然正交,但并不归一。这可由它与正交归一的切矢eθ,eϕ

之间的满足的关系看出:

更一般的,高维平直空间的坐标切矢投影到子空间上也不一定正交,

若矢量由上述不正交的矢量做线性展开,

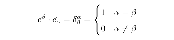
如何求得其展开系数呢?此时,我们可以定义一组与基矢对应的对偶基矢,使得对偶基矢与基矢之间满足正交归一的性质:

因此,对于一般情况,矢量就可以表达为

也就是说,矢量的分量就等于该矢量与其基矢对应的对偶基矢进行点乘。特殊情况下,例如前文所讲的三维空间的基矢{i,j,k},我们可以认为其对偶基矢就是其自身。

由此可见,正交归一的性质十分重要,当基矢不存在正交归一的性质时,我们也想要通过构造对偶基矢来满足正交归一性质,使线性展开的系数计算更加方便。

函数空间:量子力学中的应用

线性空间中的矢量也可以是函数,此时满足特定性质的函数组成的线性空间称为函数空间。例如,我们需要定义新的内积关系,

由此我们可以将函数空间中的任一函数做线性展开

其中{fn(x),n=1,2,3...}为函数空间的一组基矢。在量子力学中,所有的量子态

对应为希尔伯特(Hilbert)空间中的一个矢量,而算符则是希尔伯特空间上的算符,起作用将希尔伯特空间中一个态矢量变到另一个态矢量。例如,哈密顿量的本征态满足

也就是在哈密顿量的作用下,该本征态在希尔伯特空间中的方向不变,系数变为其本征能量。

波动方程的双傅里叶展开

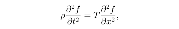
我们回到经典的体系。考虑一根振动的弦,设弦振动的幅度为f(x,t),其满足的偏微分方程为

其中,⍴为弦的密度,T为弦的张力。进一步可化简为标准的波动方程的形式

其中,v为弦振动的传播速度

利用分离变量法,我们可以把f(x,t)对时间t和空间位置x的依赖分离,并用函数空间中的一组线性独立且完备的基本函数线性叠加来表示。我们选择对t和x方向分别用傅里叶基函数展开,

其中,cn 为展开系数。有了一般的表达式,通常我们需要其满足给定的边界条件

以及初始条件

边界条件的满足必然使得f(x,t)一般表达式中的kn量子化

将一般表达式带入方程,则可得到色散关系

而初始条件的满足则有

我们利用函数基矢的正交归一性来求得此时的展开系数。为满足归一性,我们选择基函数为

很容易验证这一组傅里叶基矢是线性独立的,

其中,第二步用到了三角函数的积化和差公式

若上式积分中,kn不等于km,则有

同理,可得

以及

因此g(x)可以由一组函数空间里的正交归一的基函数来展开,其展开系数为基函数与函数做内积

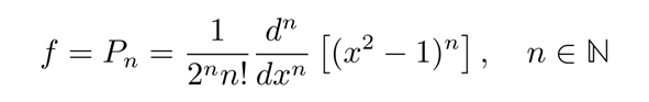
勒让德函数的正交归一性

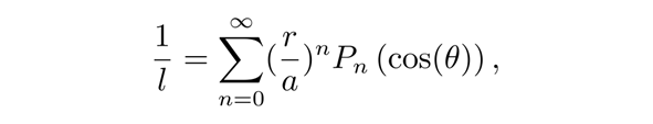
在之前的物理课中,我们曾计算过月球对地球的潮汐作用,地球上一点到月球中心的距离的倒数可以用勒让德多项式展开,

其中,a为地月距离,r为地球上所求场点位矢的大小,Pn(x)为勒让德多项式函数。

由勒让德多项式满足的内积关系,

使其构成正交完备的函数基,对于区间[-1,1]上任何平方可积的函数,都可以用勒让德多项式进行展开

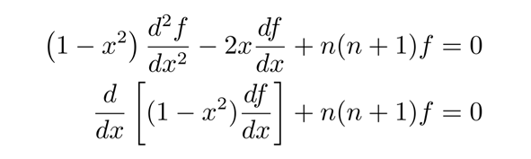
勒让德函数是勒让德方程的解,

其中,n为非负整数,解的具体形式为

我们此次先证明其正交性。将勒让德多项式满足的方程

两边分别乘上Pm(x), Pn(x),相减再积分可得

因此,当m,n不相等时,Pn,Pm内积则为0:

据了解,《张朝阳的物理课》于每周周日中午12时在搜狐视频直播,网友可以在搜狐视频APP“关注流”中搜索“张朝阳”,观看直播及往期完整视频回放;关注“张朝阳的物理课”账号,查看课程中的“知识点”短视频;此外,还可以在搜狐新闻APP的“搜狐科技”账号上,阅览每期物理课程的详细文章。

声明:本文由入驻焦点开放平台的作者撰写,除焦点官方账号外,观点仅代表作者本人,不代表焦点立场。